فروش پروژه تشخیص و طبقه بندی مدولاسیون مبتنی بر شبکه عصبی عمیق کانولوشنال با MATLAB
کد پروژه: 3084
عنوان پروژه: فروش پروژه تشخیص و طبقه بندی مدولاسیون مبتنی بر شبکه عصبی عمیق کانولوشنال با MATLAB
قالب بندی: m – داکیومنت
دسته: کامپیوتر – MATLAB
قیمت: 100.000 تومان
قابلیت اجرا در نرم افزار: MATLAB
شرح مختصر:
فروش پروژه تشخیص و طبقه بندی مدولاسیون مبتنی بر شبکه عصبی عمیق کانولوشنال با MATLAB
تشخیص مدولاسیون سیگنال های دیجیتال به دو حالت تقسیم می شود: شرایط همکاری و شرایط غیر همکاری. در یک محیط غیر همکار، تشخیص مدولاسیون یک فناوری بین تشخیص سیگنال و تغییر شکل سیگنال است. هدف اصلی آن تعیین روش تعدیل سیگنال قابل شناسایی است که همچنین برآورد بعدی پارامترهای سیگنال قابل شناسایی است (فرکانس حامل، نرخ نماد و غیره). تعدیل و شناسایی سیگنال ها در شرایط غیر همکار، کاربردهای گسترده ای در زمینه های غیرنظامی و نظامی دارد. در زمینه غیرنظامی، شناسایی مدولاسیون سیگنال ها به طور عمده برای تایید سیگنال، شناسایی تداخل و تایید تداخل برای مدیریت طیف رادیویی استفاده می شود. در زمینه نظامی، عمدتا برای اقدامات متقابل ارتباط رادیویی در فناوری رادیویی نرم افزار و مقابله الکترونیکی استفاده می شود. بنابراین، شناسایی حالت های مدولاسیون سیگنال دیجیتال در شرایط غیر همکاری دارای اهمیت تحقیقاتی مهمی است. هدف اصلی این کار به دو بخش تقسیم می شود:
- شناسایی معماری شبکه عصبی عمیق مناسب برای کار شناسایی سیگنال و تشخیص مدولاسیون و پیشنهاد روش هایی برای کاهش زمان آموزش آن ها.
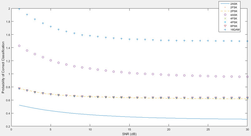
- تشخیص دقیق مدولاسیون ها و تفکیک آن ها برحسب نسبت سیگنال به نویز یا SNR آن ها.
عکس خروجی برنامه
عکس 1
عکس 2
عکس 3
عکس 4
عکس 5
عکس 6
برای خرید این پروژه با شماره 09360703858
یا آدرس ایمیل nn4e@aol.com در تماس باشید.






